公示!南安市有1247名考生具备普通高中招生考试

发布时间:2020-07-11 13:37:48 来源: 编辑:武荣网
浏览:60
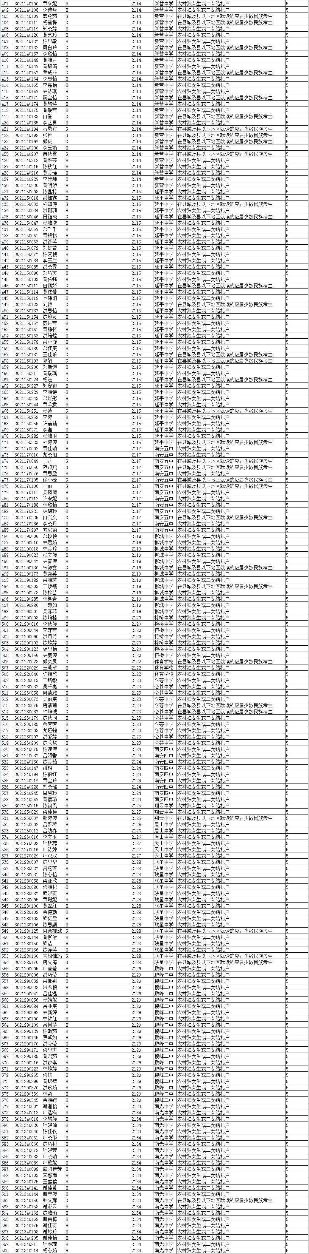
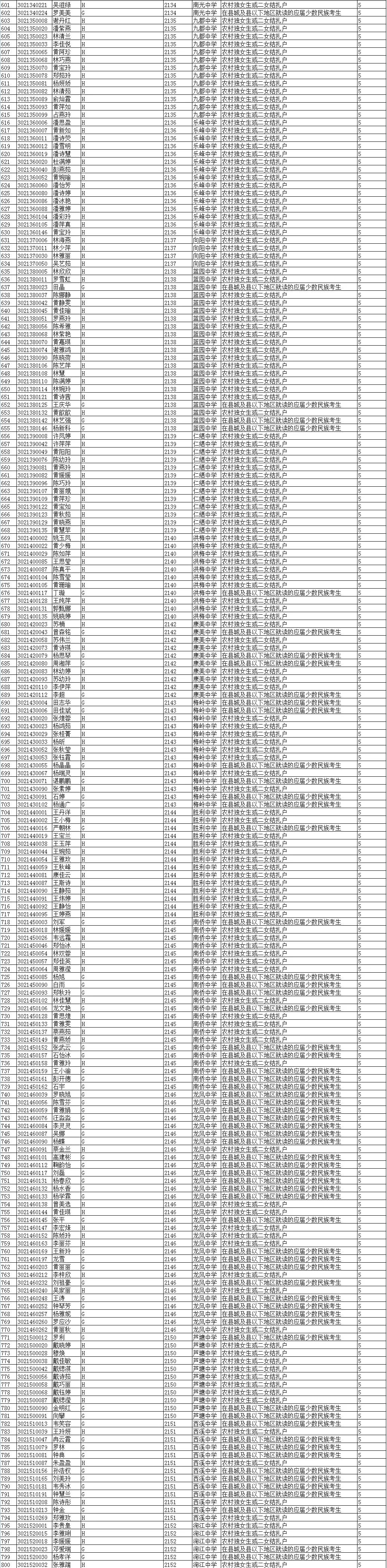
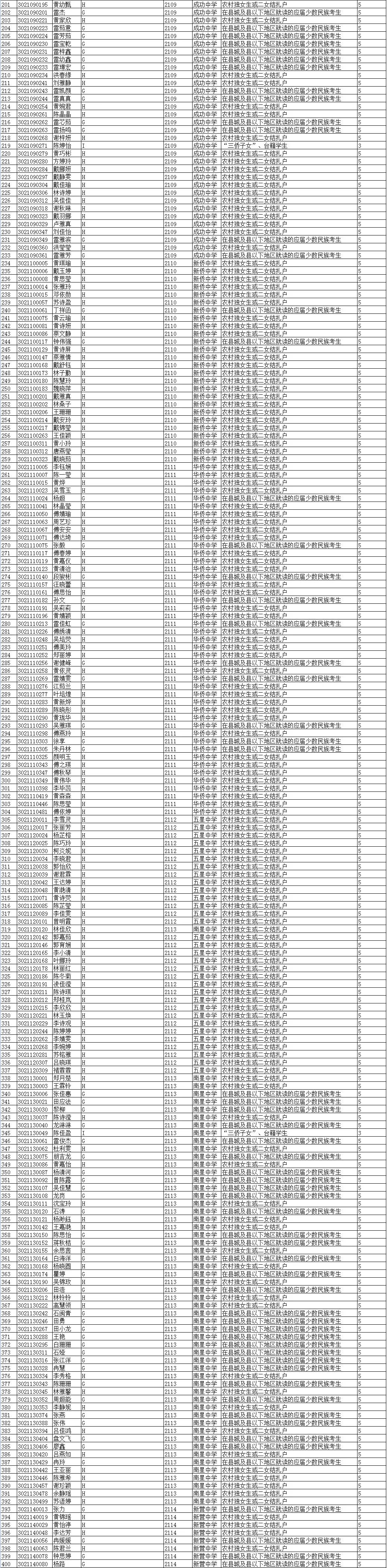
  关于2020年南安市普通高中招生考试录取照顾资格的公示
 
  根据《泉州市教育局关于2020年泉州市初中毕业升学考试和普通高中招生工作的意见》(泉教中〔2020〕3号)精神,按照考生申报、学校审核、市招生考试中心审核等程序,我市已完成2020年南安市普通高中招生考试录取照顾资格申报及审核工作,有陈静芸等1247名考生具备普通高中招生考试加分录取资格。现将有关考生资格情况(具体名单见《南安市普通高中招生考试录取照顾资格花名册(2020年)》)予以公示。
 
  公示日期:2020年7月9日-7月15日;公示电话:0595—86382612、86392257;来访来电时间:正常工作时间;接待科室:南安市招生考试中心(南安市溪美街道兴安巷45号)。
 
  请有关学校将相关考生资格信息在校园公告栏上进行同步公示。
 
  附件:南安市普通高中招生考试录取照顾资格花名册(2020年)
 
  南安市招生考试中心
 
  2020年7月9日

南安市

更多 >
  • 英都镇佛教界开展劳动节慰问活动
    英都镇佛教界开展劳动节慰问活动

    “五一”期间,为弘扬公益慈善精神,彰显社会责任担当,5月3日上午,英都镇佛教界联合开展主题慰问活动。镇党委统战委员、人武部长许佩艺出席活动,与英都镇各佛教场所代表共同为全镇95名环卫工人送上节日关怀。···...

  • 3:0横扫!光前学子黄东萍助力中国队晋级苏迪曼杯四强
    3:0横扫!光前学子黄东萍助力中国队晋级苏迪曼杯四强

    5月2日,中国队在苏迪曼杯淘汰赛中击败马来西亚队顺利晋级四强。本场比赛,石宇奇、陈雨菲、黄东萍(光前学子)等三位参加5届苏迪曼杯的老将披挂上阵,也正是这三名老将为中国队锁定三分,晋级半决赛。在首场混双···...

英都镇英都镇佛教界开展劳动节慰问活动
梅山镇3:0横扫!光前学子黄东萍助力中国队···
罗东镇中国队,四连冠!祝贺罗东姑娘黄东萍!
丰州镇丰州镇到英都镇开展异地调研活动
梅山镇梅山镇:入户评残到家门 服务群众零距···

泉州市

更多 >
  • 第三届中德科技论坛在泉州开幕
    第三届中德科技论坛在泉州开幕

    24日,第三届中德科技论坛在泉州开幕。全国人大常委会副委员长、民盟中央主席、欧美同学会(中国留学人员联谊会)会长丁仲礼,省委书记、省人大常委会主任周祖翼,国务院侨务办公室主任陈旭在开幕式上致辞。24日···...

  • 惠安县新冠肺炎病例活动轨迹公布
    惠安县新冠肺炎病例活动轨迹公布

    惠安县新冠肺炎病例活动轨迹公布截止3月18日,我县共发现2名新冠肺炎确诊病例和3名无症状感染者,现均已转运至市定点医院治疗,其密切接触者均已落实管控措施,目前核酸检测结果均为阴性。现将病例相关活动轨迹···...

洛江区批复!同意黎明职业大学建设新校区!
鲤城区第三届中德科技论坛在泉州开幕
丰泽区快讯!泉州公布65例确诊病例轨迹详情
德化县德化县公布三名新冠病毒阳性感染者活动···
德化县德化县公布新增1名新冠病毒阳性感染者···

晋江市

更多 >
  • 金井镇第十五次归侨侨眷代表大会召开
    金井镇第十五次归侨侨眷代表大会召开

    2月22日,金井镇第十五次归侨侨眷代表大会召开,王育艺当选新一届金井镇侨联主席。会议为当选的新一届金井镇侨联班子举行了印鉴移交仪式和颁发聘任证书。今后五年,金井镇侨联将紧扣中心大局,响应市委“乡贤促振···...

  • 梅岭:开工45个重点项目 冲刺“开门红”
    梅岭:开工45个重点项目 冲刺“开门红”

    虎年开局,梅岭街道一批重点项目建设迎来了“开门红”。今年梅岭街道共策划生成市级重点项目45个,目前已全部开工,完成年度投资15.17亿元,完成年度进度26.27%,超时序进度近10个百分点。在位于梅岭···...

青阳街道晋江市气象台16时10分继续发布暴雨···
青阳街道晋江市市场监管局2022年谋划生成2···
青阳街道2022年晋江确定168户“四帮四扶···
池店镇速看!晋江发布重要通告!池店镇划定封···
池店镇速看!晋江今起开设“黄码”人员专用采···

石狮市

更多 >
湖滨街道石狮市创建全国法治政府建设示范市工作···
湖滨街道石狮召开动员会:以创建全国法治政府示···
祥芝镇石狮:“五共一体”持续推进共同富裕
湖滨街道石狮市卫健局组织石狮籍医学生返乡参观···
湖滨街道石狮市菲华归侨经济促进会第四届理监事···
广告位